Notizie

Pensioni, Diffusi i coefficienti per rivalutare le retribuzioni nel 2026
Bernardo Diaz 18/03/2026 Pensioni
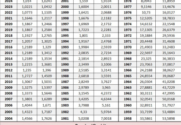
Recepito dall'Inps l'aumento dell'1,4% sull'anno precedente. E’ quindi possibile calcolare con esattezza una pensione con decorrenza 2026. I coefficienti servono per rivalutare le retribuzioni per la determinazione della base annua pensionabile delle anzianità anteriori al 31.12.1995 (31.12.2011 per chi ha 18 anni di contribuzione al 31.12.1995)
Previdenza
Lavoro
Fisco
L'esperto Risponde

La salvaguardia pensionistica non cancella la pensione supplementare
Franco Rossini 14/07/2022 Previdenza
I pensionati titolari di una pensione in regime di salvaguardia possono conseguire una pensione aggiuntiva sulla base dei contributi versati dopo il pensionamento o per l'attività professionale eventualmente svolta con iscrizione alla cassa professionale.
Guide
![I benefici previdenziali per le attività "gravose" nel 2026 [Guida]](https://www.pensionioggi.it/modules/mod_news_pro_gk5/cache/k2.items.cache.29591de583cdf9bd1525f07db70ddccf_XLnsp-897.jpg)
I benefici previdenziali per le attività "gravose" nel 2026 [Guida]
Vittorio Spinelli 23/02/2026 Approfondimenti
Guida ai benefici previdenziali riconosciuti a favore dei cd. lavoratori addetti a mansioni particolarmente difficoltose e rischiose dopo le modifiche contenute nella legge di bilancio per il 2026.





















![Opzione Donna, ecco chi può accedervi nel 2026 [Guida]](https://www.pensionioggi.it/modules/mod_news_pro_gk5/cache/k2.items.cache.f04c12f63605845b9ca67bdbf1b27ae5_XLnsp-897_links.jpg)
![Come Funziona la rivalutazione delle Pensioni nel 2026 [Guida]](https://www.pensionioggi.it/modules/mod_news_pro_gk5/cache/k2.items.cache.781e383ee9cc8da3c21bb36e293cdc0b_XLnsp-897_links.jpg)
![Disoccupazione Collaboratori, Ecco le condizioni per il 2026 [Guida]](https://www.pensionioggi.it/modules/mod_news_pro_gk5/cache/k2.items.cache.b563e34fb8efec241efafb9e4359fd0c_XLnsp-897_links.jpg)
![Assegno Mensile di Invalidità, i limiti di reddito e l'importo per il 2026 [Guida]](https://www.pensionioggi.it/modules/mod_news_pro_gk5/cache/k2.items.cache.a6f252bf6ae2eb7a7122577b409a37aa_XLnsp-897_links.jpg)




